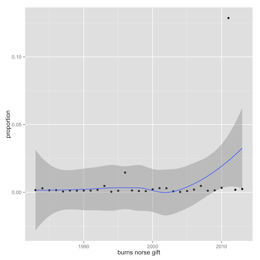
burns norse gift saga curse epic ed da portuguese adamastor episode chap king scandinavian brand er icelandic resistance early

0.26 David Quint, Voices of Resistance: The Epic Curse and Camões's Adamastor, Representations, 1989.
0.26 Carol J. Clover, Regardless of Sex: Men Women and Power in Early Northern Europe, Representations, 1993.